立式粉体干燥器内二元湿颗粒气-固逆流过程的数值模拟

余 龙1, 庞冬冬1, 陈双琪1, 佘敏敏1, 李勇铜1, 沈文朋2, 孟亚慧3

(1. 兰州理工大学 石油化工学院, 甘肃 兰州 730050; 2. 天华化工机械及自动化研究设计院有限公司, 甘肃 兰州 730060;3. 甘肃省特种设备检验检测研究院, 甘肃 兰州 730050)

摘要: 【目的】为了研究二元湿颗粒在立式粉体干燥器干燥单元气-固逆流过程中的流动特性, 分析不同条件下二元湿颗粒的空间分布情况, 实现二元湿颗粒在气-固逆流过程中的优化设计。 【方法】采用计算流体力学(computational fluid dynamics,CFD)与离散元(discrete element method,DEM)耦合液桥力模块的分析方法,分别探讨颗粒含水质量分数、粒径比和质量比对二元湿颗粒流动特性的影响及液桥力变化规律。【结果】在气-固逆流过程中,颗粒质量分数在径向和轴向分布上呈现“边壁大中心小”“上大下小”的规律;颗粒速度随着轴向高度的增加而增大,从边壁区域到中心区域的颗粒速度呈现减小趋势;随着颗粒含水质量分数和粒径比的增加,颗粒的运动由接触力和液桥力共同控制逐渐变成液桥力占主导,干燥单元顶部容易堵塞;随着质量比的增加,接触力对颗粒运动的控制进一步加强,在颗粒含水质量分数较小的情况下占主导作用。【结论】较大的质量比可以缓解干燥单元顶部堵塞,同时要选取适当的颗粒含水质量分数,才能削弱颗粒结块对流动特性研究的干扰。

关键词: 气-固逆流; 含水量; 二元湿颗粒; 液桥力; 数值模拟

立式粉体干燥器是一种重要的干燥设备,具有干燥效率高、 占地面积小、 运行成本低等优点,被广泛应用于石化、 农业、 医药及冶金等领域[1]。干燥器主要由4个单元组成,分别是布料、 干燥、 冷却及卸料单元。干燥单元是干燥器最重要的组成部分,与气-固逆流下行床的工作原理相同,物质流动方向都是固体颗粒向下、 气体向上[2-3]。粗、 细颗粒之间存在粒径差异,导致气体与固体颗粒之间的相互作用力不同,二元湿颗粒在气-固逆流过程中的流动特性随着运行条件的变化而发生改变[4-6]

复杂的气-固流动影响干燥单元中的颗粒传热传质特性、 干燥特性以及运动行为,了解气-固流动的性质和变化规律对于优化气-固逆流型干燥器的运行和设计具有重要的参考价值[7-10]。Luo等[8]通过搭建气-固逆流流态化实验平台研究气-固逆流两相的流动特性, 结果表明, 对于直径为123、 332 μm的颗粒, 它们的质量分数与气体速度、 质量流量成正比。 李正杰等[9]建立逆流下行床冷态实验平台, 研究直径为300 μm的颗粒, 不同逆流气速、 颗粒循环速率对下行床不同轴向高度的颗粒速度、 质量分数的影响, 并获得充分发展阶段局部颗粒速度预测公式。[10]建立粗颗粒气-固逆流下行床实验平台,并对颗粒流动特性和轴向压力分布进行了理论分析, 研究表明, 直径为1.94 mm的颗粒, 理论分析能够准确地预测粗颗粒在逆流下行床中的压力梯度。 Liu等[11]通过能量最小多尺度(energy minimization multi-scale,EMMS)理论对气-固逆流下行床进行建模,结果表明,EMMS理论能够很好地预测气-固逆流向下的多尺度非均匀性特征。Peng等[12]提出一种新的经验曳力系数与欧拉模型相耦合的数值方法, 很好地预测逆流下行床的颗粒质量分数径向分布。 Jiang等[13-14]在自主搭建气-固逆流下行床试验平台的基础上,构建多尺度数值模型,并对颗粒流动特性进行了研究,研究结果表明,随着气流速度的增加及颗粒速度降低,质量分数、 停留时间、 流动结构的径向分布非均匀性以及靠近边壁区域的颗粒团聚体数量增加。

迄今为止,大多数研究集中在单粒径颗粒方面,有关二元湿颗粒在气-固逆流型干燥器或下行床内的流动特性研究尚不充分。本文中通过CFD-DEM与液桥力耦合分析方法对聚甲醛二元湿颗粒在立式粉体干燥器干燥单元气-固逆流过程中的流动特性进行研究,分析颗粒含水质量分数、 粒径比和质量比对二元湿颗粒流动特性的影响规律,并进一步分析粗、 细颗粒之间的液桥力变化机制,为气-固逆流型干燥器的优化设计和运行提供参考。

1 数学模型

1.1 气体运动方程

基于局部平均Navier-Stokes方程的气相连续性和动量方程[15]分别为

+·(εg ρgug)=0,

(1)

(2)

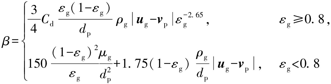
式中: εg为气体空隙率; ρg为气体密度; ug为气体速度; g为重力加速度; p为气体压力; τg为气体黏性应力张量; Vcell为计算单元体积; Np为计算单元内颗粒数量; i为第i个颗粒,i=1,2,…,Np; Vp为颗粒体积; vp为颗粒速度; β为气-固两相之间动量交换系数。其中, β由Gidaspow模型[16]定义,方程为

(3)

其中

(4)

其中

Rep=εg ρg|ug-vp|dpg,

(5)

式中: μg为气体黏度; dp为颗粒粒径; Cd为颗粒曳力系数;Rep为颗粒雷诺数。

1.2 运动方程

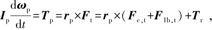
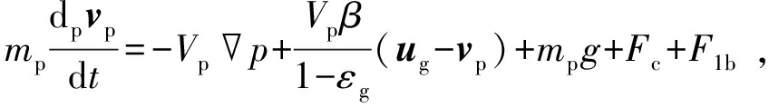
利用牛顿第二定律求解颗粒的平移运动和旋转运动,控制方程[17]如下:

(6)

(7)

式中: mp为颗粒质量; t为时间; Fc为接触力; Flb为液桥力; ωp为颗粒旋转速度; Ip为颗粒转动惯量; Tp为颗粒总转矩; rp为颗粒中心的位置; Tr为滚动摩擦转矩;下标n和t分别为法向和切向参数。

采用线性弹簧-阻尼软球模型求解颗粒-颗粒、 颗粒-壁面之间的接触力,法向接触力Fc,n和切向接触力Fc,t的方程[18]分别为

Fc,n=-knδn-ηnvr,n,

(8)

(9)

式中: δ为弹性变形量; μs为滑动摩擦因数; vr为相对碰撞速度; k为弹簧刚度; η为阻尼系数。

液桥力中毛细管力为静态液桥力,黏性力为动态液桥力,毛细管力Fcap的方程[19]

FcapγR[exp(AH/R+B)+C],

(10)

式中: R为颗粒半径; θ为接触角; γ为表面张力系数; H为颗粒与壁面或2个颗粒之间的距离;为无量纲液桥体积; ABC为计算参数。

参数ABC的计算公式分别如下:

颗粒-颗粒

(11)

(12)

(13)

颗粒-壁面

(14)

(15)

(16)

切向黏性力Fv,t和法向黏性力Fv,n的方程[20]分别为

(17)

(18)

式中μlb为液桥黏度。

1.3 分析方法验证

为了验证CFD-DEM与液桥力耦合分析方法在干颗粒系统中的正确性,将[10]的实验数据与模拟结果进行对比,玻璃球的密度为2 507 kg/m3, 直径为1.94 mm, 质量流量为284.3 kg/h, 入口速度为1.722 m/s,气-固逆流下行床的直径为0.016 m,高度为2.23 m。分析方法的验证如图1所示。由图1(a)可知,随着表观气体速度的增大,颗粒速度降低,颗粒质量分数呈现上升趋势。此外,模拟与实验结果吻合较好,误差最大值为7.25%,表明该分析方法在干颗粒系统中是正确的。

为了验证分析方法在湿颗粒系统中的正确性,将Tang等[21]的实验数据与模拟结果进行对比,其中,玻璃球的直径为3 mm,颗粒数量为11 000,喷动床的长度、 宽度、 高度分别为0.15、 0.02、 0.8 m,气体速度为41.2 m/s。 由图1(b)可知,数值模拟结果与实验结果吻合较好,但在喷流区域存在一定差异,误差最大值为12.04%,表明该分析方法在湿颗粒系统中是正确的。

数值模拟结果与实验结果较为吻合,误差在工程允许范围内,表明该分析方法可以在干湿颗粒系统中应用。

(a)干颗粒系统-下行床(b)湿颗粒系统-喷动床图1 分析方法的验证Fig.1 Validation of analysis method

2 几何模型及边界条件

在研究二元湿颗粒在立式粉体干燥器干燥单元中气-固逆流过程的流动特性时,为了提高计算效率,对干燥单元进行了简化。因为聚甲醛颗粒均匀地进入每个换热通道,且每个换热通道内颗粒质量流量、 换热热量以及流动特性总体上相同,所以只模拟一个换热通道。立式粉体干燥器结构示意如图2所示。xyz方向的床层长度、 宽度、 高度分别为1、 0.02、 2 m。粗、 细颗粒混合进料条件如表1所示。

表1 粗、 细颗粒混合进料条件

Tab.1 Mixed feed conditions of coarse and fine particles

粗颗粒直径/mm细颗粒直径/mm粒径比质量比3.013.0042.012.0043.021.502(4)2.521.254注: 2(4)为当粒径比为1.50时,质量比取2或者4。

图2 立式粉体干燥器结构示意图
Fig.2 Structure diagram of vertical powder dryer

干湿颗粒系统的模拟时间为8 s, 间隔0.05 s记录1次数据。 因为后6 s的模拟结果处于稳定状态, 可以减少模拟误差, 所以数值计算结果取后6 s数据的平均值。 在数值模拟中, 气相边界条件设置为速度入口和压力出口, 采用SIMPLE算法, 正六面体网格数量为总数, 颗粒的初始速度为1 m/s, 质量流量为50 kg/h, 粒径为1~3 mm, 密度为1 400 kg/m3,颗粒-颗粒之间的恢复系数为0.9, 静摩擦因数为0.35,动摩擦因数为0.3:颗粒-壁面之间的恢复系数为0.424, 静摩擦因数为0.46, 动摩擦因数为0.374:气体的速度为0.5 m/s, 密度为0.854 kg/m3, 黏度为2.37×10-5 Pa·s,颗粒含水质量分数分别为0, 0.1%, 0.3%。

3 结果与讨论

3.1 颗粒与气体的速度分布云图

因为颗粒与干燥单元的尺寸相差太大, 颗粒速度、 空间位置分布不能清楚地表达, 所以对颗粒进行了整体放大4倍。 为了探究粗、 细颗粒之间的微观特性, 对一部分颗粒进行局部放大8倍。粒径比为1.25,质量比为4,不同颗粒含水质量分数条件下颗粒与气体在4 s时的速度分布如图3所示。由图可知,随着颗粒含水质量分数的增加,颗粒速度减小,进而导致干燥单元内颗粒数量增加,使气体瞬时速度增加,其中颗粒速度的负号表示了颗粒运动方向与重力方向相同,与速度大小无关。气体与颗粒的速度分布非均匀性增强,原因是随着颗粒含水质量分数的增加,颗粒团聚体尺寸变大,且有的团聚体尺寸接近于床层尺寸,同时颗粒速度接近于0 m/s, 导致气体经过干燥单元的截面积变小, 颗粒团聚体与附近颗粒的速度差异也相对较大,其中截面积越小气体速度越大。此外,湿颗粒系统中的颗粒数量较多,气体经过干燥单元的截面积减小,同时在中心区域颗粒边缘处的气体速度最大,进而导致一部分气体没有流出干燥单元,被颗粒阻挡返回,从而形成了气体漩涡和局部高速区域。

(a)0(b)0.1%(c)0.3%图3 不同颗粒含水质量分数条件下颗粒与气体在4 s时的速度分布云图Fig.3 Velocity distribution cloud of particles and gas at 4 s under various moisture content conditions

3.2 颗粒数量变化

不同混合进料条件下颗粒数量随模拟时间的变化如图4所示。 由图可知, 影响因素为颗粒含水质量分数、 粒径比和质量比。 在干颗粒系统中, 颗粒数量随着粒径比的增大而增加, 粒径比越大颗粒数量增加量越小, 在粒径比为3比粒径比为2时, 颗粒数量平均值增加了0.4%, 颗粒数量变化不大; 当粒径比不小于2时, 湿颗粒数量在时间为0.8 s时达到峰值1 249后剧减, 表明干燥单元顶部被堵塞, 干燥单元内湿颗粒数量远远小于干颗粒数量, 在颗粒含水质量分数为0.3%时变化最显著。 颗粒数量也随着质量比的增大而减少, 最大下降率为11.92%。 颗粒数随着含水质量分数的增加呈现上升趋势。

(a)粒径比影响(b)质量比影响C1—粒径比为1.5,质量比为2,含水质量分数为0;C2—粒径比为1.5,质量比为2,含水质量分数为0.1%;C3—粒径比为1.5,质量比为2,含水质量分数为0.3%;C4—粒径比为1.5,质量比为4,含水质量分数为0;C5—粒径比为1.5,质量比为4,含水质量分数为0.1%;C6—粒径比为1.5,质量比为4,含水质量分数为0.3%;C7—粒径比为2,质量比为4,含水质量分数为0;C8—粒径比为2,质量比为4,含水质量分数为0.1%;C9—粒径比为2,质量比为4,含水质量分数为0.3%;C10—粒径比为3,质量比为4,含水质量分数为0;C11—粒径比为3,质量比为4,含水质量分数为0.1%;C12—粒径比为3,质量比为4,含水质量分数为0.3%。图4 不同混合进料条件下颗粒数量随模拟时间的变化Fig.4 Changes of particle number with simulated time under various mixed feed conditions

3.3 质量分数的轴向和径向分布

不同混合进料条件下颗粒质量分数的轴向分布如图5所示。由图可知,当坐标原点在干燥单元顶端,且轴向高度的变化是从干燥单元顶端开始到底端结束,也就是从上往下变化时,颗粒质量分数随着轴向高度和质量比的增加而减小,随着粒径比的增加总体上呈现增大趋势。随着粒径比的增加,粗颗粒所组成的骨架中细颗粒填充率增加,颗粒之间的接触距离减小,进而导致颗粒容易形成团聚体,团聚体尺寸也相对接近于床层尺寸,从而使颗粒质量分数增大。干燥单元内颗粒质量分数在轴向分布上呈现“上高下低”的形式,且颗粒质量分数随着含水质量分数的增加而总体上增加。当粒径比不小于2时,粒径相差较大,粗颗粒骨架中的细颗粒填充率较高,容易使颗粒团聚体尺寸大于床层尺寸,进而导致干燥单元顶部堵塞,干燥单元内湿颗粒数量剧减,湿颗粒的颗粒质量分数远远小于干颗粒的。

颗粒质量分数在不同轴向高度上的径向分布如图6所示。 由图可知, 当粒径比为1.25, 质量比为4时, 颗粒质量分数在所有高度位置上的径向分布均呈现“边壁大中心小”的特点, 也就是边壁区域附近的颗粒质量分数大于中心区域的。 上述结果表明,在上升表观气体的作用下, 向下流动的颗粒逐渐从中心区域向边壁区域移动, 进而导致靠近边壁区域的颗粒数量增加, 使颗粒径向分布的非均匀性增加。

(a)粒径比影响(b)质量比影响C1—粒径比为1.5,质量比为2,含水质量分数为0;C2—粒径比为1.5,质量比为2,含水质量分数为0.1%;C3—粒径比为1.5,质量比为2,含水质量分数为0.3%;C4—粒径比为1.5,质量比为4,含水质量分数为0;C5—粒径比为1.5,质量比为4,含水质量分数为0.1%;C6—粒径比为1.5,质量比为4,含水质量分数为0.3%;C7—粒径比为2,质量比为4,含水质量分数为0;C8—粒径比为2,质量比为4,含水质量分数为0.1%;C9—粒径比为2,质量比为4,含水质量分数为0.3%;C10—粒径比为3,质量比为4,含水质量分数为0;C11—粒径比为3,质量比为4,含水质量分数为0.1%;C12—粒径比为3,质量比为4,含水质量分数为0.3%。图5 不同混合进料条件下颗粒质量分数的轴向分布Fig.5 Axial distribution of particulate concentration under various mixed feed conditions

(a)轴向高度为0.05 m(b)轴向高度为1.0 m(c)轴向高度为1.8 m图6 颗粒质量分数在不同轴向高度上的径向分布Fig.6 Radial distribution of particulate concentration at different axial heights

3.4 速度的轴向和径向分布

粒径比、质量比对颗粒速度轴向分布的影响如图7、 8所示。由图可知,颗粒速度随着轴向高度和质量比的增加而增加,而随着粒径比的增加呈现下降趋势,原因是随着质量比的增加,粗颗粒所组成的骨架中细颗粒数量减少,进而导致架桥现象不容易产生,颗粒团聚体尺寸也相对小于床层尺寸,同时与壁面接触的摩擦力减小,颗粒速度增加;当粒径比越大时,粗颗粒所组成的骨架中细颗粒数量越多,颗粒之间的比表面积变大;当团聚体尺寸大于床层尺寸时,颗粒团聚体与壁面接触的摩擦力增大,颗粒速度降低。当粒径比不小于2时,粒径相差较大,颗粒团聚体尺寸容易大于床层尺寸,导致干燥单元顶部容易堵塞,颗粒质量分数急剧下降,干燥单元内湿颗粒的颗粒速度远远小于干颗粒的。此外,颗粒速度随着含水质量分数的增加而略微减小。

(a)轴向高度为0~1.2 m(b)轴向高度为1.2~2.0 mC4—粒径比为1.5,质量比为4,含水质量分数为0;C5—粒径比为1.5,质量比为4,含水质量分数为0.1%;C6—粒径比为1.5,质量比为4,含水质量分数为0.3%;C7—粒径比为2,质量比为4,含水质量分数为0;C8—粒径比为2,质量比为4,含水质量分数为0.1%;C9—粒径比为2,质量比为4,含水质量分数为0.3%;C10—粒径比为3,质量比为4,含水质量分数为0;C11—粒径比为3,质量比为4,含水质量分数为0.1%;C12—粒径比为3,质量比为4,含水质量分数为0.3%。图7 不同粒径比条件下颗粒速度的轴向分布Fig.7 Axial distribution of particle velocity under various particle size ratios

(a)轴向高度为0~1.2 m(b)轴向高度为1.2~2.0 mC1—粒径比为1.5,质量比为2,含水质量分数为0;C2—粒径比为1.5,质量比为2,含水质量分数为0.1%;C3—粒径比为1.5,质量比为2,含水质量分数为0.3%;C4—粒径比为1.5,质量比为4,含水质量分数为0;C5—粒径比为1.5,质量比为4,含水质量分数为0.1%;C6—粒径比为1.5,质量比为4,含水质量分数为0.3%。图8 不同质量比条件下颗粒速度的轴向分布Fig.8 Axial distribution of particle velocity under various mass ratios

颗粒速度在不同轴向高度上的径向分布如图9所示。由图可知,在粒径比为1.25、 质量比为4时,颗粒速度沿着径向呈现下降趋势,也就是边壁区域附近的颗粒速度大于中心区域,这是因为在中心区域附近的逆流气体速度较大,而在边壁区域附近的逆流气体速度相对较小,致使向下流动的颗粒逐渐从中心区域向边壁区域移动,颗粒速度在干燥单元内呈现近“中心小边壁大”的径向分布。

(a)轴向高度为0.05 m(b)轴向高度为1.0 m(c)轴向高度为1.8 m图9 颗粒速度在不同轴向高度上的径向分布Fig.9 Radial distribution of particle velocity at different axial heights

综上,颗粒速度随着粒径比或质量比的增加而变化趋势较小,原因为聚甲醛颗粒粒径为1~3 mm,属于Geldart D类颗粒,为粒径较大或密度高的颗粒[22];较低的床层高度会减少颗粒与气体的充分接触时间,且床层宽度较窄,导致颗粒终端速度对颗粒速度的影响减小,因此二元湿颗粒的速度变化较小。

3.5 平均停留时间与碰撞频率

不同混合进料条件下颗粒平均停留时间、碰撞频率随模拟时间的变化如图10所示。由图10(a)可知,颗粒平均停留时间随着模拟时间的增加先呈现增加趋势,在时间为0.7~0.8 s时保持不变。颗粒平均停留时间随着质量比的增加总体上呈现减少趋势,原因是随着质量比的增加,粗颗粒数量增加,细颗粒数量减小,进而导致颗粒惯性力增加,颗粒的运动能力也相对增加,颗粒平均停留时间缩短。在一定范围内颗粒平均停留时间随着粒径比和颗粒含水质量分数的增加总体上呈现增加趋势。当粒径比为3时,颗粒含水质量分数为0.3%比0.1%时的颗粒速度大,平均停留时间减少,且颗粒平均停留时间的最大值为0.798 s。

由图10(b)可知, 干颗粒的碰撞频率接近于0, 说明在此条件下的颗粒流动属于稀相流动, 颗粒相互接触的次数非常少。 当模拟时间小于0.8 s时, 颗粒碰撞频率随着粒径比和颗粒含水质量分数的增加而增加, 随着质量比的增加总体上呈现下降趋势, 当粒径比为3时, 湿颗粒碰撞频率最大为61 270 Hz;当模拟时间大于0.8 s时,随着粒径比的增加,颗粒碰撞频率反而减小,这是因为随着质量比的增加,粗颗粒所组成的骨架中细颗粒填充率或颗粒总数量逐渐减少,导致颗粒-颗粒或颗粒-壁面之间的距离增大,颗粒运动的自由程也相对增加,颗粒碰撞次数减少。此外,当粒径比较大时,粗颗粒所组成的骨架中细颗粒的数量增加,导致颗粒运动距离减小,颗粒团聚体尺寸也相对大于床层尺寸,从而使干燥单元顶部堵塞;同时,在模拟时间大于0.8 s时,干燥单元顶部堵塞,进而造成干燥单元内颗粒数量剧减,颗粒碰撞频率也相对减小,甚至碰撞频率接近于0。

(a)平均停留时间(b)碰撞频率C1—粒径比为1.5,质量比为2,含水质量分数为0;C2—粒径比为1.5,质量比为2,含水质量分数为0.1%;C3—粒径比为1.5,质量比为2,含水质量分数为0.3%;C4—粒径比为1.5,质量比为4,含水质量分数为0;C5—粒径比为1.5,质量比为4,含水质量分数为0.1%;C6—粒径比为1.5,质量比为4,含水质量分数为0.3%; C10—粒径比为3,质量比为4,含水质量分数为0;C11—粒径比为3,质量比为4,含水质量分数为0.1%;C12—粒径比为3,质量比为4,含水质量分数为0.3%。图10 颗粒平均停留时间与碰撞频率随模拟时间的变化Fig.10 Changes of average residence time and collision frequency of particles with simulated time

3.6 液桥数目与受力分析

在气-固逆流过程中,湿颗粒发生了接触,颗粒接触示意图如图11所示。在接触过程中,在颗粒-颗粒及颗粒-壁面之间会形成一部分液桥,这些液桥会对二元湿颗粒的流动特性产生很大的影响。

(a)颗粒-颗粒(b)颗粒-壁面图11 颗粒接触示意图Fig.11 Schematic diagram of particle contact

颗粒-颗粒、 颗粒-壁面之间的液桥数目随模拟时间的变化如图12所示。 由图可知, 在一定范围内, 液桥数目随着颗粒含水质量分数和粒径比的增加而增加, 而随着质量比的增加呈现下降趋势, 这是因为颗粒间的接触半径随着颗粒含水质量分数的增加而增加, 进而导致颗粒-颗粒、 颗粒-壁面之间的接触数目增加, 使液桥数目呈现增加趋势。 当颗粒含水质量分数保持不变时, 颗粒数量随着质量比的增加而减小, 导致颗粒相互接触的概率呈现下降趋势, 液桥数目减小。 此外, 颗粒-壁面之间的液桥数目远远大于颗粒-颗粒之间的, 且最大可达到3倍, 说明干燥单元内靠近壁面的湿颗粒数目较多。

(a)颗粒-颗粒(b)颗粒-壁面C2—粒径比为1.5,质量比为2,含水质量分数为0.1%;C3—粒径比为1.5,质量比为2,含水质量分数为0.3%; C5—粒径比为1.5,质量比为4,含水质量分数为0.1%;C6—粒径比为1.5,质量比为4,含水质量分数为0.3%; C11—粒径比为3,质量比为4,含水质量分数为0.1%;C12—粒径比为3,质量比为4,含水质量分数为0.3%。图12 液桥数目随模拟时间的变化Fig.12 Changes of liquid bridge number with simulated time

不同粒径比、 质量比的湿颗粒受力如表2所示。 由表可知, 当颗粒含水质量分数较大时, 液桥力是接触力的100倍左右, 因此由接触力和液桥力共同控制颗粒的运动逐渐变成液桥力占主导位置, 其中接触力与颗粒含水质量分数成反比。 当质量比较大时, 可以增加接触力对颗粒运动的控制增强, 甚至在颗粒含水质量分数较小的情况下占主导作用, 其中接触力是液桥力的3倍左右, 这是因为随着质量比的增加, 颗粒数量减少, 进而导致液桥数目呈现下降趋势。 此外, 液桥力与液桥数目成正比, 而与接触力成反比。

表2 不同粒径比、质量比的的湿颗粒受力

Tab.2 The force of wet particles with different particle size ratios and mass ratios

含水质量分数/%粒径比质量比接触力/N颗粒与颗粒之间的液桥力/N颗粒与壁面之间的液桥力/N0.11.520.005 690.009 290.009 091.540.035 680.006 340.007 833.040.001 430.141 240.035 960.31.520.005 170.027 670.033 951.540.018 820.025 720.028 383.040.001 050.154 180.067 66

4 结论

1)气-固逆流结构呈现局部非均匀性,且颗粒主要集中在边壁区域,以及颗粒质量分数分别在径向和轴向分布上呈现“边壁大中心小”“上大下小”的规律。颗粒速度随着轴向高度的增加而增加,而从边壁区域到中心区域的颗粒速度呈现下降趋势。

2)随着颗粒含水质量分数和粒径比的增加,颗粒数目和平均停留时间增加,进而导致颗粒与颗粒、 颗粒与壁面之间的液桥力增大,接触力相对减小,其中液桥力约是接触力的100倍。随着质量比的增加,颗粒数目和颗粒平均停留时间下降,进而导致接触力对颗粒流动特性的作用进一步加强,液桥力的作用相对减弱,尤其在低颗粒含水质量分数条件下,接触力约是液桥力的3倍。

3)在干颗粒系统中,颗粒流动属于稀相流动,且颗粒相互接触的次数非常少,甚至接近于0;在湿颗粒系统中,当粒径比不小于2时,粒径比越大越容易造成干燥单元顶部堵塞,而较大的质量比可以缓解顶部堵塞,且使颗粒顺利流出干燥单元,因此,有利于二元湿颗粒在气-固逆流型干燥器中有较好的传热或干燥效率,且对气-固逆流方面的不足进行了补充。

利益冲突声明(Conflict of Interests)

所有作者声明不存在利益冲突。

All authors disclose no relevant conflict of interests.

作者贡献(Author’s Contributions)

余龙和庞冬冬进行了方案设计以及论文的写作和修改,陈双琪、 佘敏敏和沈文朋参与了论文的模拟仿真。所有作者均阅读并同意了最终稿件的提交。

YU Long and PANG Dongdong designed the scheme, and wrote and revised the manuscript. CHEN Shuangqi, SHE Minmin and SHEN Wenpeng participated in the simulation of the study. All authors have read the last version of paper and consented for submission.

参考文献(References)

[1]王宗伟. 粉体流热泵干燥机干燥器内流动性优化与实验研究[D]. 济南: 山东建筑大学, 2021.
WANG Z W. Optimization and experimental study on fluidity in dryer of powder flow heat pump dryer[D]. Jinan: Shandong Jianzhu University, 2021.

[2]FUCHS J, SCHMID J C, MÜLLER S, et al. Dual fluidized bed gasification of biomass with selective carbon dioxide removal and limestone as bed material: a review[J]. Renewable and Sustainable Energy Reviews, 2019, 107: 212-231.

[3]余龙, 庞冬冬, 沈文朋, 等. 立式粉体干燥器中不同粒径湿颗粒流动特性研究[J]. 化工机械, 2023, 50(5): 663-669.
YU L, PANG D D, SHEN W P, et al. Flow characteristics of wet particles with different sizes in vertical powder flow dryer[J]. Chemical Engineering &Machinery, 2023, 50(5): 663-669.

[4]BAI L, ZHAO Z J, LV W N, et al. Gas-solid flow characteristics of fluidized bed with binary particles[J]. Powder Technology, 2023, 416: 118206.

[5]宋晓皎, 王帅. 基于介尺度曳力模型双组分颗粒混合的CFD模拟[J]. 中国粉体技术, 2021, 27(4): 120-129.
SONG X J, WANG S. CFD simulation of two-component particle mixing based on meso-scale drag model[J]. China Powder Science and Technology, 2021, 27(4): 120-129.

[6]WANG Y, ZHANG H, HUANG Y Q, et al. Numerical investigation on fluidization characteristics of binary particles in supercritical water fluidized bed reactor under pulsed conditions[J]. Powder Technology, 2022, 405: 117536.

[7]江凯军, 陈炜, 张强, 等. 气固逆流式流化床颗粒团聚特性实验研究[J]. 工程热物理学报, 2021, 42(12): 3213-3221.
JIANG K J, CHEN W, ZHANG Q, et al. Experimental study on cluster characteristics of gas-solid countercurrent fluidized bed[J]. Journal of Engineering Thermophysics, 2021, 42(12): 3213-3221.

[8]LUO K B, LIU W, ZHU J X, et al. Characterization of gas upward-solids downward countercurrent fluidized flow[J]. Powder Technology, 2001, 115(1): 36-44.

[9]李正杰, 董鹏飞, 宋文立, 等. 气固逆流下行流化床中颗粒速度的径向与轴向分布[J]. 过程工程学报, 2012, 12(3): 376-381.
LI Z J, DONG P F, SONG W L, et al. Radial and axial distributions of particle velocity in a counter-current fluidized bed[J]. The Chinese Journal of Process Engineering, 2012, 12(3): 376-381.

[10] Z, et al. Hydrodynamic modeling of downward gas-solids flow. Part I: Counter-current flow[J]. Powder Technology, 2014, 256: 404-415.

[11]LIU J B, LIU X H, ZHANG Z X, et al. Modeling the axial hydrodynamics of gas-solid counter-current downers[J]. Particuology, 2020, 50: 135-143.

[12]PENG G, DONG P F, LI Z J, et al. Eulerian simulation of gas-solid flow in a countercurrent downer[J]. Chemical Engineering journal, 2013, 230: 406-414.

[13]JIANG K J, WANG F L, KONG Y Q, et al. Experimental investigation on the hydrodynamic characteristics of fluidized bed particle solar receiver with gas-solid countercurrent flow pattern[J]. Journal of Thermal Science, 2021, 30(6): 2241-2253.

[14]JIANG K J, WANG F L, KONG Y Q, et al. Characteristics of axial and radial development of solids holdup in a countercurrent fluidized bed particle solar receiver[J]. Journal of Thermal Science, 2021, 30(6): 2223-2240.

[15]TANG T Q, WANG T Y, GAO Q H, et al. Flow and heat mass performances of wet particle drying process based on liquid volume-varying bridge force[J]. International Journal of Heat and Mass Transfer, 2020, 148: 119037.

[16]WANG F, ZENG Y S, YAN H. CFD-DEM study of impacts of the porous distributor medium on fluidization characteristics of a 2D-fluidized bed[J]. Particuology, 2024, 87: 54-73.

[17]WANG T Y, HE Y R, TANG T Q, et al. Experimental and numerical study on a bubbling fluidized bed with wet particles[J]. AIChE Journal, 2016, 62(6): 1970-1985.

[18]ZHOU Y F, LI H, ZHU M Y, et al. Effects of liquid content and surface tension on fluidization characteristics in a liquid-containing gas-solid fluidized bed: a CFD-DEM study[J]. Chemical Engineering and Processing-Process Intensification, 2020, 153: 107928.

[19]WANG Y L, XU J, HE S Y, et al. Numerical simulation of particle mixing and granulation performance in rotating drums during the iron ore sintering process[J]. Powder Technology, 2023, 429: 118890.

[20]ZHANG K, WANG S, TANG Y X, et al. Evaluation of drag force around bubble in an incipiently fluidized bed via a coupled CFD-DEM approach[J]. Powder Technology, 2020, 370: 80-87.

[21]TANG T Q, HE Y R, REN A X, et al. Experimental study and DEM numerical simulation of dry/wet particle flow behaviors in a spouted bed[J]. Industrial &Engineering Chemistry Research, 2019, 58(33): 15353-15367.

[22]XU H B, WANG W Y, ZHONG W Q, et al. Experimental study of fluidization characteristics of Geldart-D particles in pressurized bubbling fluidized bed[J]. Advanced Powder Technology, 2022, 33(3): 103453.

Numerical study on gas-solid countercurrent process of binary wet particles in a vertical powder dryer

YU Long1, PANG Dongdong1, CHEN Shuangqi1, SHE Minmin1, LI Yongtong1, SHEN Wenpeng2, MENG Yahui3

(1. School of Petrochemical Engineering, Lanzhou University of Technology, Lanzhou 730050, China;2. Tianhua Institute of Chemical Machinery and Automation Co., Ltd., Lanzhou 730060, China;3. Gansu Province Special Equipment Inspection and Testing Institute, Lanzhou 730050, China)

Abstract

Objective When flowing into the drying unit of the vertical powder dryer, the binary wet particles tend to agglomerate, resulting in blockage at the top of the drying unit. According to the principle of solid flow, the drying unit operates in a similar mannersimilarly to a gas-solid countercurrent downer. However, limited research studies on binary wet particles in the gas-solid countercurrent dryers. The spatial distribution of binary wet particles is analyzed under various working conditions. The related methods and results are conductive to the process of a vertical powder dryer.

Methods In this paper, firstly, the analysis model was established, coupling liquid bridge force module of computational fluid dynamics (CFD) and discrete element method (DEM). Secondly, the reliability of the above model was verified through experiments. Finally, this study quantitatively described the effects of moisture content, particle size ratios and mass ratios of coarse and fine particles on the flow characteristics of binary wet particles. Furthermore, the study studied mechanism of the changes in the liquid bridge force between coarse and fine particles.

Results and Discussion According to the model established above, it is found by simulation that high moisture content leads to particle agglomeration, as well as the presence of gas vortices and local high-speed areas in the drying unit. When the particle size ratios are greater than or equal to 2, there is a significant difference in particle size between the two, resulting in a high filling rate of fine particles within the coarse particle skeleton, and making it more likely for particle agglomeration to exceed the bed size, leading to blockage at the top of the drying unit and a sharp decrease in the particulate concentration of wet particles within the unit. Under the influence of the upward flow of gas on the surface, the particles that are moving downward gradually shift from the central region to the side wall region, leading to an accumulation of particles near the side wall, causing an increase in the non-uniformity of the radial distribution of the particles. Moreover, with an increase in moisture content and the particle size ratio of coarse and fine particles, both the number and mean residence time of particles also increase, leading to an increase in the liquid bridge force, while the contact force decreases relatively. However, as the mass ratio of coarse and fine particles increases, the number and mean residence time of particles decrease, resulting in a stronger influence of contact force on particle flow characteristics and a relatively weaker influence of liquid bridge force, especially when the moisture content is low. At approximately 0.8 s, the maximum number of wet particles is 1 249, the maximum collision frequency is 61 270 Hz, and the maximum number of liquid bridges is 1 678.

Conclusion In this paper, the flow characteristics of binary wet particles and the variation of liquid bridge force are reported. The results reveal that the particulate concentration and velocity are relatively higher in the side wall region and decrease towards the center region. The particulate concentration shows higher levels at the top, and gradually decreasing along the downer, while the particle velocity increases with the axial height. Moreover, in a dry particle system, the flow structure is classified as dilute phase flow, and the number of contacts is very small, sometimes even approaching zero. In a wet particle system, when the particle size ratios are 2 or greater, a higher particle size ratio increases the likelihood of blockage at the top of the drying unit. However, increasing the mass ratios can help alleviate the blockage. Thus, this study is beneficial for achieving better heat transfer efficiency in gas-solid countercurrent dryers for binary wet particles, and supplements the deficiency of gas-solid countercurrent systems.

Keywords countercurrent gas-solid flow; moisture content; binary wet particle; liquid bridge force

中图分类号: TB44; TQ021.1

文献标志码:A

引用格式:

余龙, 庞冬冬, 陈双琪, 等. 立式粉体干燥器内二元湿颗粒气-固逆流过程的数值模拟[J]. 中国粉体技术, 2024, 30(2): 82-95.

YU L, PANG D D, CHEN S Q, et al. Numerical study on the gas-solid countercurrent process of binary wet particles in a vertical powder dryer[J]. China Powder Science and Technology, 2024, 30(2): 82-95.

收稿日期: 2023-11-10,

修回日期:2023-12-02,

上线日期:2024-01-18。

基金项目:国家自然科学基金,编号:52266004;甘肃省科技厅重点研发项目,编号:22YF11GA317;2020年度甘肃省重点研发计划,编号:20YF8GA013。

第一作者简介:余龙(1976—),男,副教授,博士,硕士生导师,研究方向为热-固-流多物理场交叉耦合问题协同优化。E-mail: yul@lut.edu.cn。

文章编号:1008-5548(2024)02-0082-14

DOI10.13732/j.issn.1008-5548.2024.02.008

(责任编辑:武秀娟)