纳米氧化铝水基料浆的分散及流变行为

罗国强1,2,张 壮1,孙 一1,胡家念1,沈 强1

(1. 武汉理工大学 材料复合新技术国家重点实验室,湖北 武汉 430070;2. 化学与精细化工广东省实验室潮州分中心,广东 潮州 521011)

摘要:为了研究纳米氧化铝料浆的分散及流变行为,利用红外光谱学(FTIR)、流变测试、沉降实验、黏弹性测试等探讨纳米氧化铝预处理、聚乙烯亚胺(PEI)分散剂、抗坏血酸等对纳米氧化铝水基料浆的分散效率与沉降行为影响。结果表明:纳米氧化铝经水洗或酸洗预处理后,料浆的流变性得到明显改善;小分子量PEI(L-PEI)的分散效率优于分子量较大的PEI(H-PEI),L-PEI的最佳添加量质量分数为1%,H-PEI的最佳添加量质量分数为5%;添加质量分数为1%的L-PEI和0.2%的抗坏血酸,可使分散效率进一步提高,获得更低黏度的纳米氧化铝水基料浆;当纳米氧化铝料浆的体积分数为15%~20%时,可以获得分散稳定性较好的纳米氧化铝水基料浆。

关键词:纳米氧化铝;聚乙烯亚胺;分散剂;流动指数因子;流变性;分散机制

高性能特种氧化铝陶瓷的常用方法是胶体成型工艺[1],此工艺往往需要固相含量较高、分散稳定的纳米氧化铝水基料浆。陶瓷料浆悬浮系统的稳定性与氧化铝陶瓷产品的质量具有密切的联系。在较高固相含量的陶瓷料浆中,布朗运动会加剧纳米氧化铝颗粒之间的碰撞现象,导致团聚体的自发形成,更容易生成微团聚结构。这些微小的聚集体之间会继续碰撞生成更大的聚集体,最终产生沉淀[2-4]

为了获得更均匀、气孔等缺陷更少的纳米氧化铝胶态成型制品,最好的选择是制备较低悬浮液黏度的分散系统,所以控制粉末悬浮液的流变行为是近年来的研究焦点[5-8]

对于稳定微米和亚微米尺寸的陶瓷粉体料浆已有了大量研究[9-14],但对于纳米陶瓷粉体料浆的研究却比较欠缺,由于纳米粒子具有极高的表面能,在水中受到的作用力非常复杂,有范德华力、双电层斥力、溶剂损耗力、氢键桥接力等[18],同时,在同样含量下,纳米粒子相对于微米粒子具有更短的相隔间距,容易引发粒子的团聚[15-18],因此控制纳米粒子在水中的稳定性和流变性能具有重要的意义。添加高分子聚电解质来稳定陶瓷料浆是常见的方法,阳离子聚电解质如聚乙烯亚胺(PEI),因其具有高反应活性,能够与无机颗粒相互作用产生稳定分散的聚合物-胶体复合物,可以用作结构形成剂、稳定剂和胶体分散体[19],但单一体系的分散剂在分散纳米陶瓷粒子料浆效率方面有待研究。

针对纳米氧化铝水基料浆容易生成团聚导致高黏度,不易于胶态成型的问题,本文中研究了纳米氧化铝粉体的预处理,不同分子量的高分子PEI的引入对纳米氧化铝水基料浆流变性能的影响。为了进一步优化选择合适的分散剂,研究抗坏血酸对PEI分散和稳定纳米氧化铝水基料浆的影响方面有待研究。

1 实验

1.1 原料

纳米氧化铝(粒径为30 nm,上海麦克林试剂公司,纳米粒子之间有一定团聚,见图1);NaOH、HCl(分析纯,国药试剂);低分子量聚乙烯亚胺(L-PEI)、高分子量聚乙烯亚胺(H-PEI)、抗坏血酸(含量质量分数99.9%)(阿拉丁试剂(上海)有限公司)。

图1 纳米氧化铝粉体的TEM图像
Fig.1 TEM image of Al2O3 nanoparticles

1.2 方法

1.2.1 纳米氧化铝预处理

1)水浸

粉体与去离子水的质量比为1 ∶4,转速为500 r/min的磁力搅拌60 min,静置60 min,再搅拌10 min,转速为10 000 r/min离心分离后,鼓风干燥箱中105 ℃温度下干燥24 h。以上步骤重复2次,获得预处理的纳米氧化铝粉体。

2)预处理纳米氧化铝酸、碱浸

酸浸的溶液为质量分数为5%的HCl水溶液,碱浸使用的是质量分数为5%的NaOH水溶液。酸浸和碱浸的步骤与水浸同。离心分离后,水洗,干燥处理,得到酸浸和碱浸处理后的粉体。

3)纳米氧化铝水基料浆制备

添加不同含量的分散剂、一定含量的纳米氧化铝粉体、去离子水于球磨罐中,室温下,放入QM-QX0.4球磨机(南京南大仪器有限公司),球料质量比为3 ∶1,以300 r/min的速度混合24 h,获得纳米氧化铝水基料浆。

1.2.2 纳米氧化铝的表征

采用Nicolet6700型红外光谱仪(美国Thermo公司)分析预处理的纳米氧化铝粉体的表面基团;用JEM-2100F透射电镜(日本JEOL公司)表征纳米氧化铝粉体原料的形貌。其流变性能利用MCR102安东帕流变仪(奥地利Anton Paar公司)测试,其中料浆的黏弹性行为通过流变仪在振荡模式下获得。

不同分散剂稳定分散的料浆静置24 h,拍摄沉降图像,观察其沉降情况。

2 结果与分析

2.1 预处理前、后的纳米氧化铝粉体红外光谱分析

图2是氧化铝粉体预处理前、后的红外吸收光谱图,在400~4 000 cm-1处波数范围进行了红外吸收光谱测试。从图中可以看出,粉体处理前、后都含有铝氧键振动峰,在3 500 cm-1处存在羟基峰,并且1 643 cm-1处出现的峰与吸附的自由水分子的形变振动有关[20]。水浸和酸洗之后的粉体羟基含量得到明显提高。

图2 预处理前、后的纳米氧化铝粉体的红外光谱图
Fig.2 IR spectra of Al2O3 nanoparticles before and after treatment

2.2 粉体预处理对纳米氧化铝水基料浆流变行为影响

图3为在料浆固相含量的体积分数为15%时,不同预处理后纳米氧化铝水基料浆的剪切黏度曲线图。由图可以看出,经过预处理之后的粉体制备的料浆整体黏度明显小于未经处理的原料粉体的。水洗和碱洗预处理的粉体料浆,黏度随着剪切速率黏度不断减小,当剪切速率达到400 s-1时,料浆黏度趋于稳定值。水预处理的分散效果优于碱洗预处理的粉体。分析可知,酸洗处理后粉体料浆的黏度大幅度减小的原因,是氧化铝粉体与残留的酸发生反应,使得有效固相含量减小造成的,因此,酸洗处理氧化铝粉体虽然可以有效减小料浆黏度,但会使得原料粉部分损失,因此应合理控制酸洗的酸浓度。

图3 不同预处理纳米氧化铝水基料浆的动剪切黏度曲线
Fig.3 Dynamic shear viscosity curve of pretreated nano-alumina powder suspension

图4是料浆固相含量的体积分数为15%的纳米氧化铝料浆的剪切应力随剪切速率的变化曲线。从图中可以看出,酸浸后粉体料浆流体形式为牛顿流体,其他预处理粉体制备的料浆都为剪切变稀流体。同时从曲线在y轴屈服应力的交点值可以得知,粉体预处理之后的料浆的屈服应力都有一定的减小,酸洗和水洗的屈服应力值减小的最多,表明料浆本身在未施加外剪切力的作用下,料浆体系本身的微团聚结构更加少一些,粒子之间分散稳定性较好[21]

图4 不同预处理纳米氧化铝水基料浆的剪切应力-剪切速率曲线
Fig.4 Shear stress-shear rate curve of pretreated Nano-alumina powder suspension

2.3 不同分散剂含量对纳米氧化铝水基料浆的黏度影响

图5是体积分数为6%的氧化铝水基料浆,在加入不同含量的PEI的动态剪切黏度曲线图。图5a是固相体积分数在6%时,加入不同含量的L-PEI的动剪切黏度曲线。由图可知,随着L-PEI的加入,料浆的黏度呈减小趋势。L-PEI添加量质量分数在1%之前,料浆的黏度减小很明显,继续增加L-PEI,料浆的黏度减小并不明显,表明当L-PEI的质量分数为1%时,L-PEI分子在纳米氧化铝粉体中实现饱和吸附,能够充分发挥其溶剂化链段提供的空间位阻作用,以及亚胺基质子化后在粉体表面提供的静电排斥稳定作用[22]

a 以L-PEI稳定

b 以H-PEI稳定
图5 固相体积分数为6%的氧化铝水基料浆加入不同含量的稳定剂时动态剪切黏度曲线
Fig.5 Relative viscosity of 6 % aqueous Al2O3 suspensions with addition of various concentrations

a L-PEI

b H-PEI
图6 不同分散剂稳定纳米氧化铝水基料浆的沉降照片
Fig.6 Settling photos of nano-alumina suspension stabilized by different dispersants

a L-PEI

b H-PEI
图7 不同PEI稳定的纳米氧化铝水基料浆的剪切应力-剪切速率
Fig.7 Shear stress of aqueous Al2O3 suspensions with addition of stabilization as a function of shear rate after logarithmic processing

图5b为固相体积分数在6%时,加入不同含量的H-PEI的动剪切黏度曲线。从图中可以得知,随着H-PEI的加入,整个料浆的黏度先增大,当进一步提高H-PEI的加入量时,料浆的黏度才开始显著减小。添加H-PEI的最佳质量分数为5%。当H-PEI的加入量较少时,吸附在氧化铝粒子表面的高分子不能有效发挥空间位阻作用,反而更易于起到桥接粒子的作用,形成团聚结构产生料浆黏度增大的负面效果。进一步提高H-PEI的添加量时,吸附在粉体上的高分子逐渐饱和,能够有效发挥其空间位阻和静电排斥作用。

2.4 料浆的沉降行为

图6是分别依次以1%、5%、10%、20和30%(按粉末质量计)的L-PEI和H-PEI加入质量分数为20%的纳米氧化铝水基料浆后的沉降结果。结果表明,H-PEI不能有效分散和稳定纳米氧化铝水基料浆,随着H-PEI含量的增加,沉降分层的现象更加明显。说明加入过多的H-PEI时,大量伸展的高分子链段更容易桥接粒子,引发粒子团聚,纳米颗粒的分散稳定结构被破坏,粒子之间接触生成团聚体下沉,产生沉降的粉末与上层清液之间的明显界面。以L-PEI为分散剂稳定纳米氧化铝水基的料浆未发现粉末沉降和分层的界面。在以L-PEI为分散剂时,无可见明显气泡产生,说明L-PEI可以分散和稳定纳米氧化铝水基料浆。分析认为,在分散和稳定纳米粒子时,使用L-PEI可以减少由于分子本身的尺度对料浆有效固相含量的影响,L-PEI具备相对短的链段,可以在纳米氧化铝粉体表面实现更充分的吸附,获得较好的分散和稳定效果。

2.5 不同分散剂含量对纳米氧化铝水基料浆的流变因子影响

为了进一步了解分散体的流变行为,可以从施加的剪切应力与剪切速率之间的关系中得出流变因子。剪切应力与剪切速率之间的关系可以由幂定律[23]描述,见式(1),式(2)是对等式(1)两侧取对数获得:

τ=n

(1)

logτ=logb+nlogγ

(2)

式中:τ是施加的剪切应力;γ是剪切速率;bn分别是参数和流动指数因子。当n<1,整个料浆呈现剪切变稀的流体形式;当n=1,描述的是牛顿流体;当n>1,分散系统表现为剪切增稠流体形式。

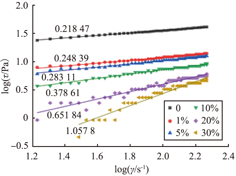
为了进一步了解到分散剂的分散能力[23],分别将添加不同含量的PEI分散剂的剪切应力随剪切速率图作对数处理后,得到各自的流动指数因子变化曲线图,见图7,图中仍采用体积分数为6%的纳米氧化铝水基料浆。

图7中的流动指数因子值表明,料浆系统为明显的剪切变稀流体,随着分散剂含量的增加,流动指数因子值不断增大,反映出料浆中团聚体的不断减少。从流动指数因子的变化来看,使用H-PEI作为分散剂时,流动指数因子变化的增长幅度范围小于使用L-PEI时的。当添加H-PEI的质量分数为30%,其流动指数因子仅为0.309,料浆中依然有大量团聚体存在,说明H-PEI分散纳米氧化铝水基料浆的分散效率不高。L-PEI分散纳米氧化铝水基料浆时更加有效。

2.6 抗坏血酸对L-PEI分散纳米氧化铝水基料浆的黏度影响

图8为添加L-PEI的质量分数为1%,纳米氧化铝料浆固相体积分数为10%,外加不同含量的抗坏血酸的纳米氧化铝料浆黏度随剪切速率变化曲线图。由图可知,随着抗坏血酸的加入,料浆的黏度呈整体减小趋势,有利于提高L-PEI分散和稳定纳米氧化铝料浆的效果。当添加抗坏血酸质量分数为0.1%时,该体系料浆黏度稍微减小,然而随着加入量提高到0.2%时,料浆的黏度呈现明显下降。进一步提高抗坏血酸的加入量,对料浆黏度影响不大,因此,最佳抗坏血酸的质量分数为0.2%。分析认为,抗坏血酸的加入一方面可以增强纳米粒子之间静电排斥稳定作用,另一方面可以提供氢离子,使L-PEI链段上的亚胺基团实现充分质子化,进一步提高其分散效率。

图8 不同含量抗坏血酸的纳米氧化铝水基料浆的动黏度曲线
Fig.8 Relative viscosity of aqueous Al2O3 suspensions with the addition of ascorbic acid

2.7 固相含量对纳米氧化铝料浆流变性能的影响

图9为在纳米氧化铝料浆不同体积含量时,质量分数为1%的L-PEI外加质量分数为0.2%的抗坏血酸复合分散稳定纳米氧化铝水基料浆系统的动剪切黏度变化曲图。由图可知,随着固相含量的体积分数从10%提高到20%,料浆黏度急剧增大。在该体积含量范围内,所获得的料浆中,无明显可见的气泡,有利于后续的各种胶态成型处理。

图9 不同固相含量纳米氧化铝水基料浆的动剪切黏度曲线
Fig.9 Relative viscosity curves of different solid phase contents

2.8 料浆的黏弹性行为

图10为在料浆的线性黏弹性区域内,质量分数为1%的PEI和质量分数为0.2%的抗坏血酸稳定的不同质量分数氧化铝料浆在固定应变为0.1%时,0.01~100 Hz范围内的振荡频率扫描测试的结果。从图中可以看出,料浆在15%的质量分数时的储存模量一直是高于损耗模量的,说明料浆系统更多表现为弹性元件主导,料浆具备一定的分散稳定性[23]。当进一步提高固相体积分数到20%时可以看出,代表黏性元件的损耗模量在如图所示的频扫范围,更多的大于储存模量,说明料浆在该固相含量下,料浆更多呈现出黏性的不稳定状态。

图10 不同固相含量时纳米氧化铝水基料浆的振荡频率扫描测试
Fig.10 Oscillatory frequency test under different solid phase contents

图11固相含量体积分数为15%料浆在固定频率为1 Hz下的,0.01%~100%的应变范围内的振荡振幅扫描测试结果。由图可知,随着应变率的提高,料浆的黏弹性参数逐渐下降。当应变率小于0.1%,料浆的储存模量大于损耗模量,料浆由弹性元件主导,系统损失能量少,分散稳定;当应变率大于0.1%时,料浆开始由黏性元件主导,系统逐渐不稳定,呈现剪切增稠的流体表现[24]。本实验的结果说明对于纳米氧化铝的分散料浆,固相含量体积分数在15%~20%之间比较适宜。

图11 固相体积分数为15%的纳米氧化铝水基料浆的振荡频率扫描测试
Fig.11 Oscillatory amplitude sweep test of stable suspension with 15% volume content

3 结论

1)纳米氧化铝粉体的水洗及酸洗预处理工艺可以使水基料浆的黏度显著减小,改善其流变性能,主要原因是水洗和酸洗之后的纳米氧化铝粉体表面的羟基含量的提高。

2)L-PEI优于H-PEI分散稳定纳米氧化铝水基料浆的效率,可以有效避免桥接颗粒的形成,减少团聚结构,提高纳米氧化铝水基料浆的分散稳定性。

3)L-PEI与抗坏血酸形成的二元分散体系可以使稳定的纳米氧化铝水基料浆的黏度显著减小,抗坏血酸的加入提高了L-PEI的分散效果,改善了料浆的流变性能,最佳复合分散剂组分质量分数为1% L-PEI和质量分数为0.2%的抗坏血酸。

4)纳米氧化铝粉体的固相含量对纳米氧化铝水基料浆的流变性能影响很大,当纳米氧化铝料浆的体积分数为15%~20%时,分散剂的分散效果较好,料浆较为稳定。

参考文献(References):

[1]LANGE F F.Powder processing science and technology for increased reliability[J].J Am Ceram Soc,1989,72(1):3-15.

[2]SMITH T,BRUCE C.Intrinsic viscosities and other rheological properties of flocculated suspensions of nonmagnetic and magnetic ferric oxides[J].J Colloid Interf Soc,1979,72(1):13-26.

[3]GANGULY S,CHAKRABORTY S.Sedimentation of nanoparticles in nanoscale colloidal suspensions[J].Phys Lett A,2011,375(24):2394-2399.

[4]杨统林,赵中华,肖建军,等.硬脂酸改性纳米氧化铝的工艺[J].南昌大学学报(工科版),2018,40(1):8-12.

[5]MONTANARO L,COPPOLA B,PALMERO P.A review on aqueous gelcasting:a versatile and low-toxic technique to shape ceramics[J].Ceram Int,2019,45(7):9653-9673.

[6]YU J,YANG J,HUANG Y.The transformation mechanism from suspension to green body and the development of colloidal forming[J].Ceram Int,2011,37(5):1435-1451.

[7]JABBARI M,BULATOVA R,TOK A I Y.Ceramic tape casting:a review of current methods and trends with emphasis on rheological behaviour and flow analysis[J].Mater Sci Eng B,2016,212:39-61.

[8]HOTZA D,GREIL P.Review:aqueous tape casting of ceramic powders[J].Mater Sci Eng A,1994,202:206-217.

[9]梅丽,吴秋芳,高玮.亚微米级α-氧化铝水悬浮液稳定性与沉降研究[J].无机盐工业,2019,51(1):78-81.

[10]JACKSON D M,BIANCA M C,ELISABETE F.Sodium lignosulfonate as a renewable stabilizing agent for aqueous alumina suspensions[J].International Journal of Biological Macromolecules,2016,82:927-932.

[11]夏保红,孙玉利,左敦稳,等.微米α-氧化铝粉体在水相介质中的分散性研究[J].中国粉体技术,2015,21(1):42-46.

[12]文章萍,张骋,张永刚,等.蔗糖脂肪酸酯对碳化硅浆料分散性的影响[J].中国粉体技术,2019,25(2):54-60.

[13]VIEIRA LE,NETO J,KLEIN A.Colloidal processing of highly concentrated aqueous copper suspensions[J].Powder Technol,2014,256:540-544.

[14]ZHANG J,SUN Y,SHIMAI S.Effect of TMAH on the rheological behavior of alumina slurries for gelcasting[J].J Asian Ceram Soc,2018,5(3):261-265.

[15]PAVEL V,ANDTEAS R.Direct tape casting of nanosized Al2O3 slurries derived from autogenous nanomilling[J].J Am Ceram Soc,2010,93(5):1313-1319.

[16]PAULINA W,ANNA W,FILIP B.Selected sugar acids as highly effective deflocculants for concentrated nano-alumina suspensions[J].Journal of European Ceramic Society,2017,37:4033-4041.

[17]LI C,LIU W,CHEN Y.Efficient dispersants for the dispersion of gallium zinc oxide nanopowder in aqueous suspensions[J].J Am Ceram Soc,2017,100:920-928.

[18]LI C,JHANG J,TSAI H.Water-soluble polyethylenimine as an efficient dispersant for gallium zinc oxide nanopowder in organic-based suspensions[J].Powder Technol,2017,305:226-231.

[19]NOVAKOV I A,RADCHENKO S S,PASTUKHOV A S.Properties of aqueous solutions of polymer-colloid complexes of polyethylenimine with aluminum hydroxychloride[J].Russ J Appl Chem,2007,80:1906-1909.

[20]VACLAV P,JOZEF R,TOMAS S.Improved microstructure of alumina ceramics prepared from DBD plasma activated powders[J].Journal of European Ceramic Society,2019,39:1297-1303.

[21]JAMLI S,BOROMAND A,WAGNER N.Microstructure and rheology of soft to rigid shear-thickening colloidal suspensions[J].J Rheol,2015,59:1377-1395.

[22]KUO M,CHANG S,HSIEH P.Efficient dispersants for TiO2 nanopowder in organic suspensions[J].J Am Ceram Soc,2016,99:445-451.

[23]IIJIMA M.Surface modification techniques toward controlling the dispersion stability and particle-assembled structures of slurries[J].J Ceram Soc Jpn,2017,125:603-607.

[24]GANGULY S,CHAKRABORTY S.Role of surfactants on stability of iron oxide yellow pigment dispersions[J].Progress in Organic Coatings,2018,120:260-265.

Dispersion and rheological behavior of nano-alumina in aqueous suspension

LUO Guoqiang1,2ZHANG Zhuang1SUN Yi1HU Jianian1SHEN Qiang1

(1.State Key Laboratory of Advanced Technology for Materials Synthesis and Processing,Wuhan University of Technology, Wuhan 430070,China;2.Chaozhou Branch of Chemistry and Chemical Engineering Guangdong Laboratory,Chaozhou 521011,China)

Abstract:In order to study the dispersion and rheological behavior of nanometer alumina slurry,infrared spectroscopy (FTIR),rheological tests,sedimentation experiments,and viscoelasticity tests were used to study the effects of pretreatment of nano-alumina powder,different polyethyleneimine (PEI) dispersants,and ascorbic acid on the rheological behavior of nano-alumina suspension.The results show that the rheology of the suspension is improved after the nano-alumina is pretreated.The dispersion efficiency of low molecular weight PEI (L-PEI) is better than PEI with higher molecular weight (H-PEI),the optimal mass fraction of L-PEI is 1%,and the optimal mass fraction of H-PEI is 5%.The addition of 1% L-PEI and 0.2% ascorbic acid can further improve the dispersion efficiency and obtain stable suspension with lower viscosity.When the volume fraction of nano-alumina suspension is from 15% to 20%,nano-alumina suspension with good dispersion stability can be obtained.

Keywords:nano-alumina;polyethyleneimine;dispersants;flow index factor;rheology;dispersion mechanism

中图分类号:TQ174

文献标志码:A

文章编号:1008-5548(2020)05-0041-07

doi:10.13732/j.issn.1008-5548.2020.05.007

收稿日期: 2020-02-26,修回日期:2020-03-10

基金项目:国家自然科学基金项目,编号:51932006;51521001;广东省重点领域研发计划项目,编号:2019B121204001。

第一作者简介:罗国强(1980—),男,教授,研究方向为功能复合材料。E-mail:luogq@whut.edu.cn。

通信作者简介:孙一(1994—),男,博士,讲师,研究方向为功能复合材料。E-mail:sunyiwhut@163.com。