纳米颗粒定向运动对动态光散射测量结果的影响

余宛真,邱 健,彭 力,骆开庆,韩 鹏

(华南师范大学物理与电信工程学院;广东省光电检测仪器工程技术研究中心,广东广州 510006)

摘要:为探究溶液定向运动对动态光散射测量结果的影响,采用动态光散射测量系统对不同流速下的纳米颗粒进行测量。结果表明:当定向运动速度矢量与散射矢量垂直时,自相关曲线基本不变;当定向运动速度矢量与散射矢量呈某一夹角时,流速越大,自相关曲线衰减越快;在某一特定运动速度下,夹角越小,相关曲线的衰减越快;用有限入射光束宽度下的动态光散射理论可解释上述实验结果。

关键词:动态光散射;布朗运动;定向运动;纳米颗粒

动态光散射技术(DLS),又称光子相关光谱法(PCS)[1-2]通过对纳米颗粒布朗运动引起的散射光强随机涨落信号进行自相关运算,得到自相关函数,并利用反演算法进一步得到纳米颗粒流体力学粒径、分散度等参数。该技术具有非接触性、测速快、测量精度高、重复性好等优点,被广泛应用于纳米颗粒粒径测量的领域,被ISO列为纳米颗粒粒度的国际标准测量方法[3]

动态光散射法主要分析的是颗粒在溶液中的运动特性。在传统的动态光散射测量过程中,溶液中的纳米颗粒被视为做纯粹的布朗运动。而当溶液做定向流动时,其中的纳米颗粒不仅做布朗运动,同时也会随溶液一起做定向运动,此时所测得的散射光的变化不再是由布朗运动单独引起的,定向运动也会起一定作用。如果仍然采用传统方法对信号进行自相关运算和反演,最后得到纳米颗粒信息很可能是不准确的。在传统的测量过程中,虽然我们尽量让样品静置充分,避免定向运动的存在,但实际中总难以完全杜绝来自热不平衡、微小扰动带来的颗粒集体定向运动[4-5]。此外,在许多工业应用和生物领域中,需要在流动的环境中在线测量纳米颗粒信息[6],因此,研究纳米颗粒定向运动对动态光散射测量的影响具有十分重要的实际意义。

鉴于此,本文中研究纳米颗粒定向运动对动态光散射测量结果的影响,测量了纳米颗粒在不同大小和方向的流速下的散射光强变化,并计算电场归一化自相关函数曲线。

1 有限入射光束宽度下的动态光散射技术

当一束单色平面光入射到样品溶液中的颗粒上,平面光被颗粒散射,颗粒发出球面波。溶液中的颗粒不停地做布朗运动,引起散射光强随机涨落,对散射光强进行自相关并归一化,得到光强的归一化自相关函数 g(2)(τ),根据 Sigert关系[7]可知,它与电场归一化自相关函数 g(1)(τ)的关系如下:

式中:τ为延迟时间;f2为相干因子。

当颗粒为单分散颗粒体系时,g(1)(τ)可以表示为[8]

通过累积法[9]对式(2)进行反演,其中累积法的表达式为

其中,

式中:Γ=Dq2,Γ 为衰减率或衰减线宽,s-1;D 为扩散系数;q 为散射矢量;K(-τ,Γ)是累积生成函数;为平均衰减率。

纳米颗粒的流体力学粒径d与衰减线宽Γ的关系[10]如下:

式中:kB为玻尔兹曼常数;T为散射介质绝对温度;n为介质折射率;λ为入射光波长;θ为散射角。

在光子相关光谱技术中,颗粒体系分散度p的大小[11]表示为

联立方程(3)、(4)、(6)得

式(7)中等号右边第1项与颗粒的粒径有关,第2项与颗粒的粒径和分散度都有关。

当颗粒体系有定向流动时,颗粒的位置矢量由布朗运动引起的扩散位矢和由定向运动导致的平移位矢两部分组成[12]

式中→为纳米颗粒定向运动速度为扩散位矢。由动态光散射技术测量得到的散射光强的归一化自相关函数 g(2)(τ)[13]

式中:v为散射矢量方向上的定向运动速度大小;w为束腰半径。

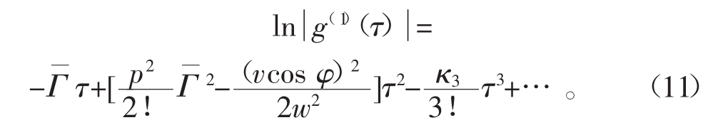
当定向运动速度矢量与散射矢量有一定夹角φ时,光强归一化自相关函数为

同理,用累积法进行反演,可得

最后,使用最小二乘法对进行多项式拟合,拟合一次项系数A与颗粒的粒径有关,二次项系数B不但包含颗粒的粒径、分散度,还包括颗粒定向运动速度的信息,即

其中,

当φ=90°时,定向运动速度v发生变化,由式(14)和式(10)分别可知拟合的二次项系数B不发生改变,测量得到的归一化自相关曲线不发生改变。同理由式(14)和式(10)分别可知,当φ一定时,定向运动速度的增加会引起二次项系数B发生改变,测量得到的归一化自相关曲线衰减变快;当定向运动速度v不变,方向与散射矢量不垂直时,角度φ的改变也会引起第2次项系数B发生改变,测量得到的归一化自相关曲线随着角度的减小衰减变快。

由于纳米颗粒定向运动的存在,反演拟合结果二次项系数发生改变,因此测量得到的归一化自相关函数曲线发生改变。当定向运动速度与散射矢量垂直时,反演拟合的二次项系数不变,测量得到的归一化自相关曲线不随着定向速度大小的改变而改变。当定向运动速度与散射矢量不垂直时,反演拟合的二次项系数改变,且测量得到的归一化自相关曲线随着定向速度大小的改变而改变。

2 实验

实验采用的测量装置示意图如图1所示。光源是波长为632.8 nm的He-Ne激光器。激光经过反射镜照射到样品池内的纳米颗粒上,产生散射光。样品池为四面通光的长方形结构,内部横截面为正方形,尺寸为10 mm×10 mm。微流泵连接样品池,控制微流泵流速,使得样品池溶液中的颗粒产生定向运动。探测器接收散射光信号进入光子相关器,得到光强归一化自相关函数。实验颗粒样品为464.7 nm单分散聚苯乙烯标准颗粒。实验温度为26℃,溶剂水的折射率为1.332 8,黏滞系数为 8.737×10-4N·s/m2

图1 实验装置示意图
Fig.1 Experimental setup

为了测量样品池中纳米颗粒定向运动速度的大小,在实验光路中包含有参考光(图1中虚线表示部分,从分光镜中分出),构成标准的激光多普勒测速光路[14-15],利用外差法直接测量纳米颗粒的定向运动速度。需要指出的是,上述光路是ISO推荐的纳米颗粒zeta电位测量光路[16]。通过设置微流泵的参数改变溶液的流动速度,可改变纳米颗粒定向运动速度。测量区域位于样品池中央,实验发现当流体流速稳定时,颗粒的速度大小在本实验涉及的20~50 μm/s的范围能保持稳定。

颗粒运动方向的确定是本实验的关键。激光多普勒测速技术实际上测量的是颗粒运动速度在散射矢量垂直方向上的分量,当运动方向与散射矢量垂直时,测到的速度大小应为最大值。保持入射光及散射角度不变,调整样品池摆放的方位可改变两者的夹角,同时测量速度的大小,最终可确定颗粒的运动方向。实验发现,测量区域的颗粒运动速度方向与样品池的长轴方向基本一致。在后续的实验中,我们即通过调整样品池的摆放方位改变颗粒定向运动与散射矢量间的夹角。

在实验过程中,通过是否遮挡参考光,可以很方便地在标准动态光散射测量模式和多普勒测速模式间转换,从而可以随时测量颗粒定向运动的速度大小。

3 结果与分析

3.1 实验系统温度稳定性测试

样品池温度对动态光散射技术最为关键,温度场的微小不均匀性都可能影响样品池内颗粒运动。实验中,为了保持温度的稳定性,样品池置于相对密闭的环境中。同时,在实验开始前及过程中,还对样品池中的纳米颗粒进行了长时间的监控测量。图2为典型测量得到的归一化自相关函数图,由图可以看出,相关曲线是稳定的。表1为实验前未启动微流泵时扩散系数的测量结果,相对误差均在5%以内,平均粒径为470.9 nm。说明本实验装置中样品池整体上温度稳定均匀。

图2 归一化自相关函数
Fig.2 Normalized auto-correlation function

表1 扩散系数的测量结果
Tab.1 Measured results of diffusion coefficient

组别扩散系数测量值×10-9/(m2·s-1)相对误差/%1 10.27 4.97 2 10.97 1.73 3 10.51 2.64 4 11.30 4.57 5 10.30 4.73

3.2 不同流速下的动态光散射测量

3.2.1 定向运动速度矢量与散射矢量垂直

定向运动速度矢量与散射矢量垂直,即φ=90°时,实验首先通过改变颗粒定向运动的速度大小,测量其对应的归一化自相关函数,分别给样品溶液提供0、25、30、36、42、50 μm/s不同流速,实验得到夹角 φ=90°时,不同流速下的归一化自相关函数如图3所示。从图3中可以看出,当定向运动速度矢量与散射矢量垂直时,在误差范围内,颗粒定向运动的存在及改变不会影响光强归一化自相关函数曲线。该结果与上述理论分析相一致。

3.2.2 定向运动速度矢量与散射矢量呈某一夹角

改变定向运动的方向,当夹角φ=8.36°即定向运动速度矢量与散射矢量不垂直时,对同种纳米颗粒在0、25、30、36、42、50 μm/s不同流速作用下进行实验测量,得到夹角φ=8.36°时不同流速下的归一化自相关函数如图4所示。

图3 φ=90°时不同流速下的归一化自相关函数
Fig.3 Normalized auto-correlation functions of 464.7 nm particles with increasing velocity at φ=90 °

图4 φ=8.36°时不同流速下的归一化自相关函数
Fig.4 Normalized auto-correlation functions of 464.7 nm particles with increasing velocity at φ=8.36 °

定向运动的存在,使得光强归一化自相关函数发生变化。随着定向流速变大(颗粒定向运动速度变大),自相关曲线衰减变快。

分别将测量得到的归一化自相关函数进行反演,最后,使用最小二乘法对进行多项式拟合,得到二次项系数B在不同流速下的结果,如图5所示。

图5 二次项系数B在不同流速下的结果
Fig.5 Results of second item coefficient B with increasing velocity

由图5可见,在误差范围内,当定向运动速度矢量与散射矢量垂直时,二次项系数B不随着定向流速变大(颗粒定向运动速度变大)而发生变化,说明B不包含颗粒定向运动速度的信息。当夹角φ=8.36°时,二次项系数B的绝对值随着定向流速变大(颗粒定向运动速度变大)而变大。对B进行二次项拟合,由拟合曲线与实验反演数据进行对比可知,B与流速的关系满足式(14),从而证明了纳米颗粒定向运动对动态光散射测量结果有影响,与理论相符合。

3.3 不同夹角下的动态光散射测量

定向运动速度固定为50 μm/s,改变定向运动速度矢量与散射矢量的夹角φ,对同种纳米颗粒进行实验测量,得到流速为50 μm/s时,不同夹角下的归一化自相关函数如图6所示。

图6 不同夹角下的归一化自相关函数(v=50 μm/s)
Fig.6 Normalized auto-correlation functions of 464.7 nm particles with different angle at v=50 μm/s

由图6可知,当定向运动速度大小一定,定向运动速度与散射矢量夹角变化时,定向运动使得测量得到的归一化自相关曲线发生变化,且随着角度的减小衰减变快。

4 结论

在本文中系统研究了纳米颗粒定向运动对动态光散射测量结果的影响,对不同流速下的自相关曲线进行了分析。当定向运动速度矢量与散射矢量垂直时,所测得的颗粒信息基本不变;当定向运动速度矢量与散射矢量不垂直时,随着定向运动速度的增大,动态光散射自相关曲线衰减变快;当定向运动速度一定且与散射矢量不垂直时,随着角度φ的减小,动态光散射自相关曲线衰减变快。这些结果与有限入射光束宽度下的动态光散射理论相符合。

本文的研究结果不仅为提高传统动态光散射技术的测量精度与适用性提供了基础,也为在溶液定向运动环境下(例如纳米流体等)的在线动态光散射技术发展提供了可行性。当然,溶液中除了纯粹的布朗运动,由于温度和浓度的不均匀、外界振动等因素导致颗粒的各种定向运动非常复杂,难以控制,对它们进行精确测量非常困难,其对动态光散射技术的影响研究还有待进一步深入。

参考文献(References):

[1]BSCHEL D,JANICH M,ROGGENDORF H.Size distribution of colloidal silica in sodium silicate solutions investigated by dynamic light scattering and viscosity measurement[J].Colloid and Interface Science,2003,267(2):360-368.

[2]PECORA R.Dynamic light scattering measurement of nanometer particles in liquids[J].Journal of Nanoparticle Research,2000,2(2):123-131.

[3]INTERNATIONAL ORGANIZATION FOR STANDARDIZATION.Particle size analsisdynamic light scattering:ISO 22412—2008[S].Switzerland:ISO,2008.

[4]JULIEN G,EMMANUEL M,HIND E H,et al.Measurement bias on nanoparticle size characterization by asymmetric flow field-flow fractionation using dynamic light scattering detection[J].Chromatographia,2017,80(2):287-293.

[5]沈嘉琪.用于高浓度胶体粒径测量的动态光散射技术研究[D].上海:上海理工大学,2010.

[6]刘丽丽,蔡小舒,张杰,等.一种纳米颗粒粒度测量的快速图像动态光散射法研究[J].光学学报,2015,35(5):361-367.

[7]BERNE B J,PECORA R.Dynamic light scattering with applications tochemistry,biology,andphysics[M].NewYork:Dover Publications,2000:59-73.

[8]JRG S,SEAN A M,TRUSHAR R P.Dynamic light scattering:a practical guide and applications in biomedical sciences[J].Biophysical Reviews,2016,8(4):409-427.

[9]MAILER A G,CLEGG P S,PUSEY P N.Particle sizing by dynamic light scattering:non-linear cumulant analysis[J].Journal of Physics:Condensed Matter,2015,27(14):1-8.

[10]陈淼.纳米颗粒粒度动态光散射自适应测量技术及仪器研究[D].广州:华南师范大学,2017.

[11]CHU B.Laser light scattering:basic principles and practice[M].New York:Dover Publications,2007:46-51.

[12]ANSARI R R,SUH K I,LEUNG A B.Characterization of flowing particles with dynamic light scattering[J].Proc Spie,2003,49(5):147-152.

[13]ALFRED B L,KWANG I S,RAFAT R A.Particle-size and velocity measurements in flowing conditions using dynamic light scattering[J].Appl Opt,2006,45(10):2186-2190.

[14]鲁梦娣,邱健,李萍,等.希尔伯特-黄变换的纳米颗粒Zeta电位分析方法[J].激光与光电子学进展,2017,54(1):292-299.

[15]陈彬,颜欢,刘阁.油中悬浮粒子激光多普勒测速瞬时速度的分析[J].强激光与粒子束,2017,29(2):1-8.

[16]INTERNATIONAL STANDARD.Collidal systems-methods for zeta-potential determination-Part 2:optical methods:ISO 13099-2—2012[S].Switzerland:ISO,2012.

Influence of directional motion of nano-particles on dynamic light scattering measurements

YU Wanzhen, QIU Jian,PENG Li,LUO Kaiqing,HAN Peng
(School of Physics and Telecommunication Engineering,Guangdong Provincial Engineering Research Center for Optoelectronic Instrument,South China Normal University,Guangzhou 510006,China)

Abstract:In order to study the influence of directional motion of nano-particles on dynamic light scattering measurements,we measured the nano-particles with different velocity using the measurement system of dynamic light scattering.The results show that the measured auto-correlation function is almost invariant when the directional velocity is perpendicular to the scattering wave vector.However,when the directional velocity and the scattering wave vector are not perpendicular,the decay of the auto-correlation function becomes faster as the directional velocity becomes larger.When the velocity is fixed,the angle between the velocity and the scattering vector is smaller and the decay of the function is faster.These results agree well with the theory of the dynamic light scattering when the waist of the incident light is limited.

Keywords:dynamic light scattering; Brownian motion;directional motion;nano-particle

中图分类号:O436.2

文献标志码:A

文章编号:1008-5548(2018)04-0061-05

doi:10.13732/j.issn.1008-5548.2018.04.012

收稿日期:2018-03-03,

修回日期:2018-05-06。

基金项目:国家自然科学基金项目,编号:61371176;广东省自然科学基金项目,编号:2014A030313433。

第一作者简介:余宛真(1992—),女,硕士研究生,研究方向为光电技术及系统。E-mail:le18770094238@163.com。

通信作者简介:韩鹏(1976—),男,博士,教授,博士生导师,研究方向为光电技术及系统。E-mail:hanpeng@m.scnu.edu.cn。